\(\newcommand{\I}{\mathrm{i}} \newcommand{\E}{\mathrm{e}} \newcommand{\D}{\mathop{}\!\mathrm{d}} \newcommand{\Di}[1]{\mathop{}\!\mathrm{d}#1\,} \newcommand{\Dd}[1]{\frac{\mathop{}\!\mathrm{d}}{\mathop{}\!\mathrm{d}#1}} \newcommand{\bra}[1]{\langle{#1}|} \newcommand{\ket}[1]{|{#1}\rangle} \newcommand{\braket}[1]{\langle{#1}\rangle} \newcommand{\bbraket}[1]{\langle\!\langle{#1}\rangle\!\rangle}\)
Lectures on statistical mechanics.
1
The interactions of argon atoms in a classical gas is roughly approximated by the potential,
where \(r\) is the interparticle distance, \(a\) is the repulsion radius, and \(b\) the range of the attractive energy, of the order of \(\epsilon\). Compute the second virial coefficient \(B_2(T)\),
and discuss its behavior as a function of the temperature \(T\).
Using the experimental values of the Boyle temperature \(T_B = 410\,\mathrm{K}\), and the Joule-Thomson inversion temperature \(T_i=720\,\mathrm{K}\), find approximate values of the interaction parameters \(\epsilon\) and \(a/b\). At the Boyle temperature \(B_2=0\), the virial coefficient vanishes (ideal gas behavior due to the balance between attractive and repulsive molecular forces). At the inversion temperature the thermal expansion coefficient satisfies,
which is true for an ideal gas; this condition is equivalent to:
defining the Joule-Thomson temperature. Above this inversion temperature, a free expanding gas raises its temperature, in contrast to the usual freezing effect.
1 Virial second order coefficient for a stepwise interaction potential. A straightforward calculation of the integral,
gives,
The virial coefficient tends to a positive constant at high temperature, but at low temperature, it can be large and negative (for \(\epsilon>0\)). This behavior is typical of the attractive force resulting in particle bounding. For pure repulsion (\(\epsilon<0\)), the system behaves like a gas of hard spheres.
The Boyle temperature \(T_B\) corresponds to \(B_2(T_B)=0\),
The Joule-Thomson \(T_i\) satisfy,
condition that leads to,
From these two equations we can compute, using the values of \(T_B\) and \(T_i\), the energy \(\epsilon\) and the ratio \(b/a\). Indeed, noting \(x=\epsilon/T_i\) and \(\alpha = T_i/T_B-1\approx 0.76\), we have,
from which one deduces \(x\approx 0.69\), and
Therefore, we obtained informations about the range and strength of the microscopic interatomic forces from bulk thermodynamic measurements.
2
Compute the second virial coefficient far a classical gas whose interaction is the purely repulsion potential,
Derive the expressions for the free energy, the entropy and the internal energy; calculate the equation of state.
Hint:
where \(F_I = NT \ln(n/\E \lambda^3)\) (\(\lambda\) is the thermal length), with \(n=N/V\), is the ideal gas free energy.
2 Thermodynamics of a gas with repulsive forces. An integration by parts, leads to the following expression,
taking into account that the boundary term vanishes. Using the definition of the Gamma function,
and a simple scaling transformation, one gets,
Obviously, the condition \(\alpha>3\) ensures regularity. The virial coefficient is then a positive monotone decreasing function of the temperature:
The equation of state is,
where \(c=\Gamma(1-3/\alpha)A^{3/\alpha}\) is a constant. The free energy can be written,
using the virial coefficients, where \(F_0\) is the ideal gas term. Therefore, the internal energy is readily computed from the standard formula,
where \(U_0 = (3/2) NT\), which leads to,
The entropy is then given by \(F = U - TS\),
3
The hamiltonian of the Potts model, a generalization of the ising model for \(q\)-states atoms, is written,
where \(\delta\) is the kronecker symbol, for a one-dimensional system with periodic boundary conditions (and the number of lattice sites is macroscopic, \(N \rightarrow \infty\)).
Find the partition function using the transfer matrix method. Find the free energy for arbitrary \(q\), starting with the special (ising) case \(q=2\). Compute the energy and discuss the low and high temperature limits. Using the definition of the correlation length in terms of the first two largest eigenvalues \(\lambda_1 > \lambda_2\), of the transfer matrix:
Analyse the behavior of \(\xi = \xi(T)\), and show that there is no phase transition at finite temperature.
3 Potts model. The partition function is a sum over all configurations,
the number of configurations is the dimension of this set, \(|S|=\mathrm{dim}(S)=q^N\):
It is convenient to introduce the transfer matrix \(T\); note that each term in the product can be written in matrix form:
or
which is a \(q \times q\) matrix. Noting that,
is a product of identical matrices (the periodic boundary conditions ensure that \(s_{N+1}=s_1\)), the partition function becomes,
then the problem to compute \(Z\) reduces to the one of diagonalizing \(T\):
where \(\lambda_s\) and \(\boldsymbol{v}_s\) are the eigenvalues and eigenvectors of \(T\), respectively. The system of \(q\) equations for the eigenvalues are of the form,
for every eigenvalue (\(v_s\) are the components of the eigenvector). The right hand side is a constant; one may distinguish two cases, the constant vanishes, which gives,
or it is different to zero, and in this case we can put \(v_s=1\) for every \(s\):
which is the largest eigenvalue. \(\lambda_-\) is \(q-1\) times degenerate, the eigenvectors can be written as,
Using these results, we obtain the partition function,
and the free energy,
The internal energy is,
The correlation length is readily computed form the ratio \(\lambda_+/\lambda_-\) of the largest eigenvalues:
In the limit of high temperature the correlation length tends to,
and in the low temperature limit,
which grows exponentially but does not diverge (for \(T>0\)). This means that there is no phase transition en the one-dimensional potts model.
6
Stoner model of magnetism. In an electron gas the fermi statistics repulsion (antisymmetric wave function) favors spin alignement (symmetric wave function). A simple expression of the spin-dependent repulsion energy is,
where \(\alpha\) is a phenomenological energy parameter and \(N\) the total number of particles, sum of spin up \(N_+\) and spin down \(N_-\) electron numbers (the volume factor ensures that \(U\) is extensive).
- Calculate the fermi energy of the spin up and down electrons (assume low temperature \(T\)). Deduce the expression of the total kinetic energy as a function of the up and down densities.
- Assume that the density difference \(\Delta n\) with respect to the non magnetic state \(N_+=N_-=N/2\), \(n_\pm = n/2 \pm \Delta n/2\), is small \(\Delta=\Delta n/n \ll 1\). Compute the total energy as an expansion to fourth order in \(\Delta n\).
- Show that the paramagnetic state is unstable for some \(\alpha > \alpha_c\), compute the critical interaction \(\alpha_c\), indicating the presence of a quantum phase transition. Investigate the behavior of the magnetization around the transition as a function of \(\alpha\), \(M = M(\alpha)\).
6 Stoner model of magnetism. Free electrons in a metal are described by a fermi distribution with states occupied up to the fermi level (chemical potential),
where \(n\) is the electron density (independent of the spin); this also defines a characteristic momentum \(\hbar k_F\),
Under the action of a small magnetic field, a magnetization proportional to the applied field appears. The pauli susceptibility is determined by the density of states \(\nu(\epsilon)\), at the fermi level,
The Stoner model address the question of how this picture is modified by a repulsion interaction between up un down spins,
Stoner is the simplest model of metallic, or “itinerant”, magnetism. It is interesting to note that the interaction adds a length scale \(\alpha m/\hbar^2\) to the density related length \(n^{-1/3}\).
Stoner model of itinerant magnetism: the coulomb interaction between conduction electrons splits the band in, for instance, a up-spin denser region and a down-spin lighter version, creating an unbalance leading to ferromagnetism. The density of states \(\nu(E)\) splits into two populations. The fermi energy is proportional to the density: a variation \(\Delta E\) around the fermi level, depends on the spin up and down densities \(n_\pm\).
One immediate observation is that the fermi level splits into spin up and down energies \(\epsilon_\pm\), computed from the respective densities \(N_+\) and \(N_-\):
and a similar expression for \(k_-\), where we dropped the factor 2 of spin degeneracy used in the free electron case; we obtain,
The kinetic energy also splits into the two populations:
Therefore, the total energy \(\epsilon=E/V\), is
which can be rewritten as,
using the paramagnetic values of the fermi level and the density, or,
with the definitions,
where \(\lambda\) is a nondimensional parameter measuring the strength of the coulomb repulsion between electrons. Now we consider a small shift of the up and down spin densities \(\Delta = n_+/n - n_-/n\):
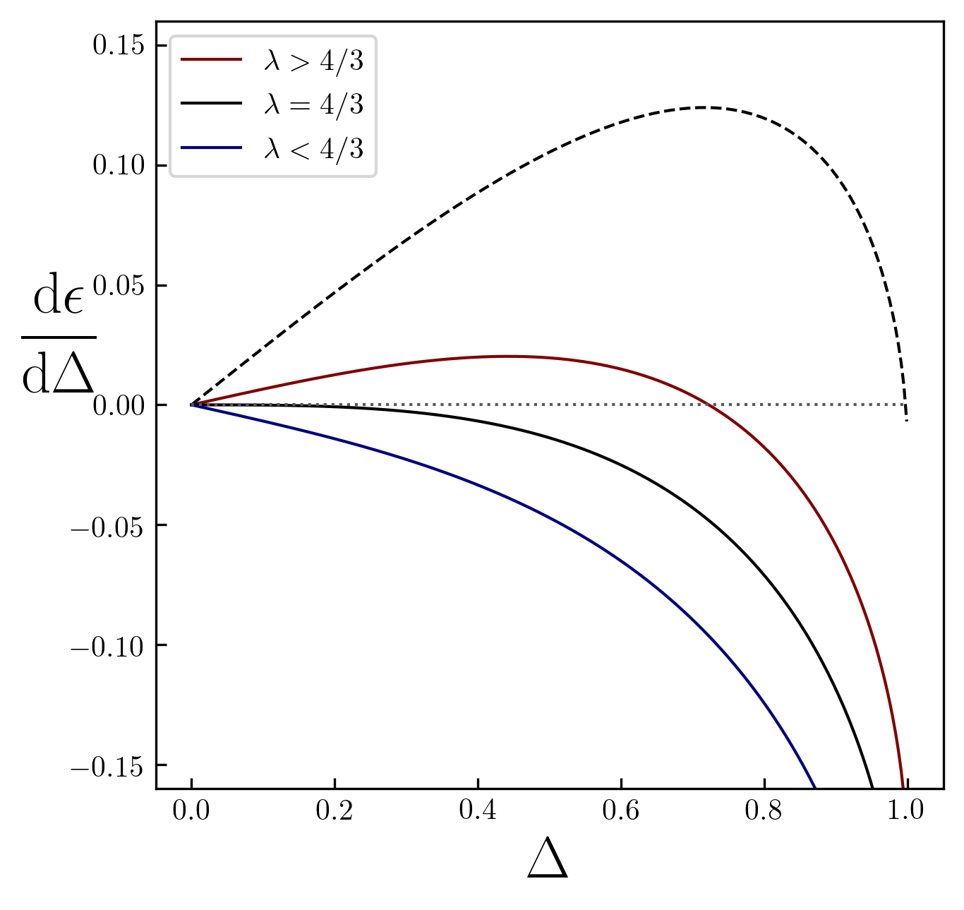
The minimum of the energy, for small \(\lambda\), corresponds to the paramagnetic phase with \(\Delta=0\). However, for larger values of \(\lambda\), a minimum at finite \(\Delta\) is possible. Indeed, in the figure below we show that the zero of the derivative,
occurs at \(0< \Delta < 1\) for \(4/3 < \lambda < 2^{2/3}\) (for \(\lambda > 2^{2/3}\) there is no solution). The critical value,
is the threshold for the appearance of a ferromagnetic phase.
Stability of the paramagnetic state in the Stoner model. When the interaction strength is \(\lambda > 4/3\) the paramagnetic state is unstable and a spontaneous magnetization arise. The dashed line \(\lambda= 2^{2/3}\) corresponds to a complete spin up phase.
A simple way to explore the transition is to expand the energy in powers of \(\Delta\). Using sympy, it is easy to compute the power series:
from sympy import *
x = symbols('x', real=True)
a = symbols('a', real=True, positive=True)
series((1 + x)**a, x, n = 5)
which gives,
or, applied to our formula, up to second order:
showing that the second order term change sign precisely at \(\lambda = 4/3\). Adding the fourth order term in the energy series expansion, one may find that the magnetization \(M\sim\Delta\) is proportional to,
This is analogous to the behavior of the mean field temperature dependence of the magnetization in the ising model; however, here the ferromagnetic transition is triggered by the interactions.
Qualitative behavior of the magnetization \(M\) as a function of the coulomb repulsive interaction \(\lambda\): above \(\lambda_c=4/3\) the magnetization grows as a power low in \((\lambda-\lambda_c)^{1/2}\).

